
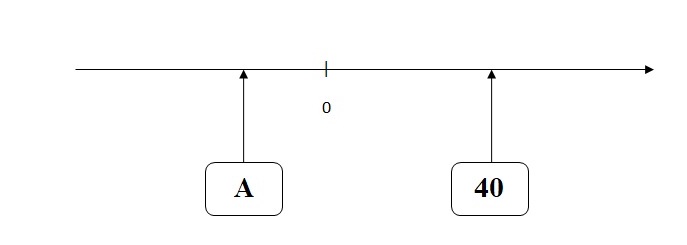
Look at the number line shown.
The difference between A and the number 40 is 55.
What is the value of A?
Your Answer:
You did not answer this question.

Look at the number line shown.
The difference between A and the number 40 is 55.
What is the value of A?
You did not answer this question.